Официальное опубликование правовых актов
ОФИЦИАЛЬНОЕ ОПУБЛИКОВАНИЕ
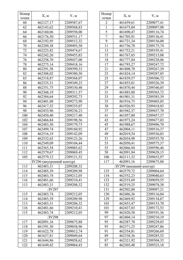
Приказ Комитета градостроительной политики Ленинградской области от 16.12.2022 № 205
"Об утверждении проекта планировки территории и проекта межевания территории земельного участка с кадастровым номером 47:08:0103002:37, расположенного по адресу: Ленинградская область, Всеволожский муниципальный район, Сертоловское городское поселение, Сертолово-II, уч. № 4"
Номер опубликования: 4701202212210023
Дата опубликования: 21.12.2022
Страница №82 из 94:
Увеличить