Официальное опубликование правовых актов
ОФИЦИАЛЬНОЕ ОПУБЛИКОВАНИЕ
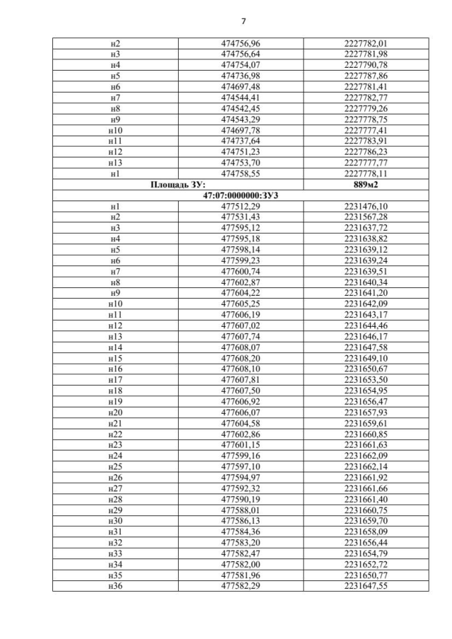
Приказ Комитета градостроительной политики Ленинградской области от 16.12.2022 № 207
"Об утверждении проекта планировки территории и проекта межевания территории с целью размещения линейного объекта "Газопровод межпоселковый от д. Лехтуси до д. Матокса Всеволожского района Ленинградской области"
Номер опубликования: 4701202212210021
Дата опубликования: 21.12.2022
Страница №46 из 65:
Увеличить