Официальное опубликование правовых актов
ОФИЦИАЛЬНОЕ ОПУБЛИКОВАНИЕ
Приказ Комитета градостроительной политики Ленинградской области от 05.12.2022 № 193
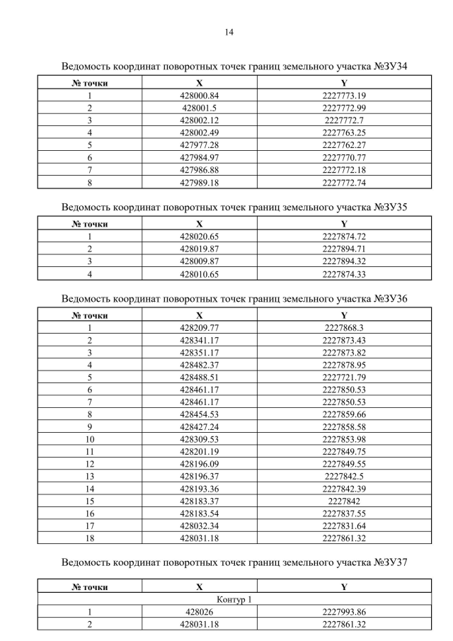
"Об утверждении проекта планировки территории и проекта межевания территории, включающей земельные участки с кадастровыми номерами 47:07:0605001:386, 47:07:0605001:455, расположенные по адресу: Ленинградская область, Всеволожский муниципальный район, Свердловское городское поселение, дер. Новосаратовка, Центральное отделение"
Номер опубликования: 4701202212080002
Дата опубликования: 08.12.2022
Страница №67 из 74:
Увеличить