Официальное опубликование правовых актов
ОФИЦИАЛЬНОЕ ОПУБЛИКОВАНИЕ
Приказ Комитета по сохранению культурного наследия Ленинградской области от 28.11.2022 № 01-03/22-265
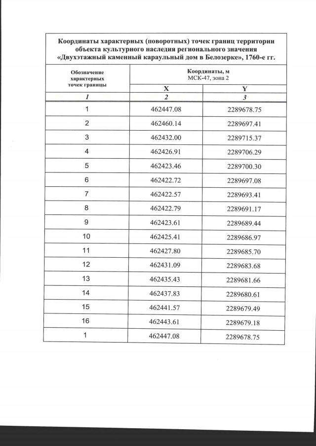
"О включении объекта культурного наследия "Двухэтажный каменный караульный дом в Белозерке", 1760-е гг., по адресу: Ленинградская область, Кировский муниципальный район, Суховское сельское поселение, здание 21, в единый государственный реестр объектов культурного наследия (памятников истории и культуры) народов Российской Федерации в качестве объекта культурного наследия регионального значения, утверждении границ его территории и предмета охраны"
Номер опубликования: 4701202212010012
Дата опубликования: 01.12.2022
Страница №4 из 10:
Увеличить