Официальное опубликование правовых актов
ОФИЦИАЛЬНОЕ ОПУБЛИКОВАНИЕ
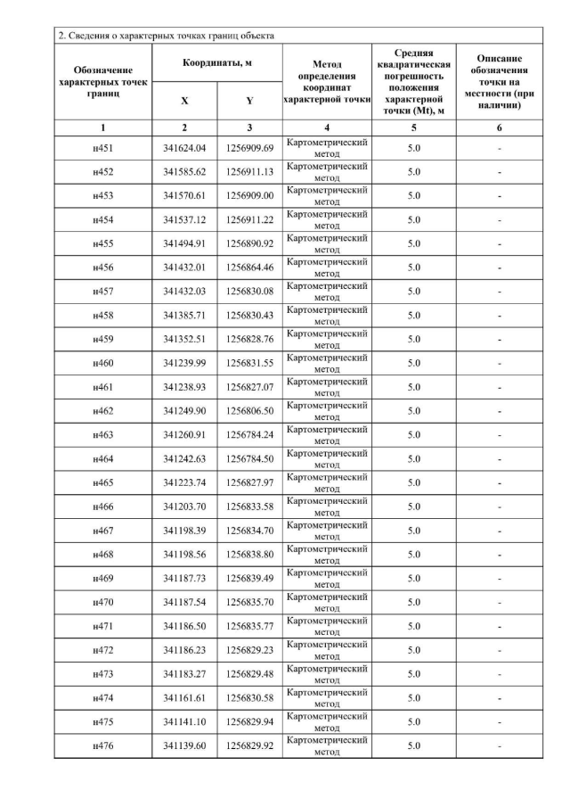
Приказ Комитета градостроительной политики Ленинградской области от 24.11.2022 № 181
"О внесении изменений в Правила землепользования и застройки муниципального образования Сланцевское городское поселение Сланцевского муниципального района Ленинградской области"
Номер опубликования: 4701202212010006
Дата опубликования: 01.12.2022
Страница №24 из 229:
Увеличить