Официальное опубликование правовых актов
ОФИЦИАЛЬНОЕ ОПУБЛИКОВАНИЕ
Приказ Комитета градостроительной политики Ленинградской области от 16.11.2022 № 174
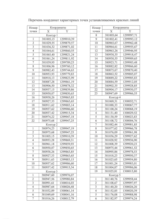
"Об утверждении проекта межевания территории, расположенной в границах кадастрового квартала 47:20:0816001, обусловленной границами территориальной зоны (зона застройки малоэтажными многоквартирными домами) деревни Ополье Опольевского сельского поселения Кингисеппского муниципального района Ленинградской области"
Номер опубликования: 4701202211210007
Дата опубликования: 21.11.2022
Страница №13 из 14:
Увеличить