Официальное опубликование правовых актов
ОФИЦИАЛЬНОЕ ОПУБЛИКОВАНИЕ
Приказ Комитета градостроительной политики Ленинградской области от 09.11.2022 № 172
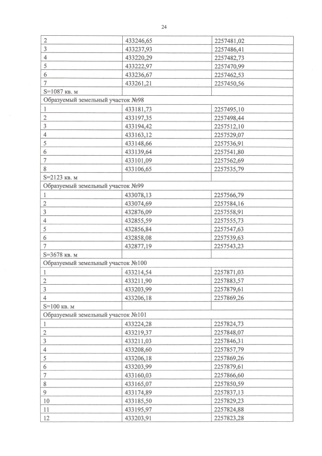
"Об утверждении проекта планировки территории и проекта межевания территории, расположенной с восточной стороны г.п. Синявино Синявинского городского поселения Кировского муниципального района Ленинградской области, и ограниченной с севера — землями лесного фонда, с восточной - землями СНТ "Приозёрное" массива "пос. Синявино-1", с юга - землями лесного фонда, с запада - территорией зоны индивидуального транспорта и грунтовой дорогой, ведущей на СНТ "Липки" массива "пос. Синявино-1"
Номер опубликования: 4701202211100009
Дата опубликования: 10.11.2022
Страница №46 из 54:
Увеличить