Официальное опубликование правовых актов
ОФИЦИАЛЬНОЕ ОПУБЛИКОВАНИЕ
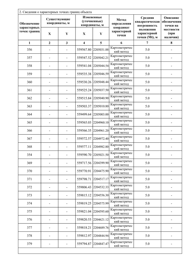
Приказ Комитета градостроительной политики Ленинградской области от 24.10.2022 № 157
"О внесении изменений в Правила землепользования и застройки муниципального образования Приозерское городское поселение муниципального образования Приозерский муниципальный район Ленинградской области"
Номер опубликования: 4701202210270006
Дата опубликования: 27.10.2022
Страница №40 из 83:
Увеличить