Официальное опубликование правовых актов
ОФИЦИАЛЬНОЕ ОПУБЛИКОВАНИЕ
Приказ Комитета градостроительной политики Ленинградской области от 04.10.2022 № 149
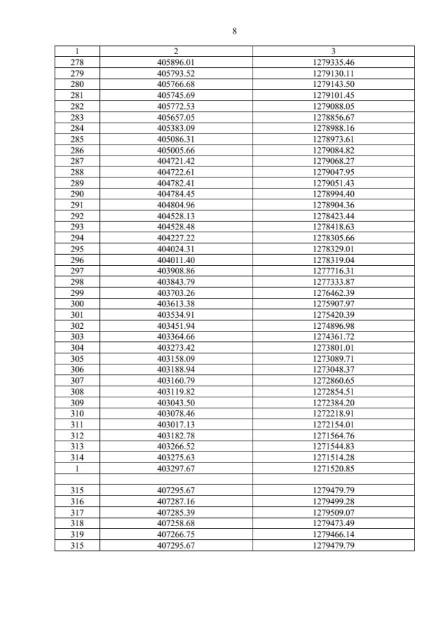
"Об утверждении проекта планировки территории и проекта межевания территории с целью размещения линейного объекта "Газопровод межпоселковый от ГРС "Усть-Луга" до индустриальной зоны "Усть-Луга", д. Березняки, д. Большие Валговицы Кингисеппского района Ленинградской области"
Номер опубликования: 4701202210070001
Дата опубликования: 07.10.2022
Страница №98 из 187:
Увеличить