Официальное опубликование правовых актов
ОФИЦИАЛЬНОЕ ОПУБЛИКОВАНИЕ
Приказ Комитета градостроительной политики Ленинградской области от 23.09.2022 № 141
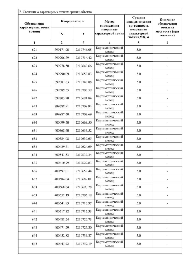
"О внесении изменений в Правила землепользования и застройки муниципального образования "Пудомягское сельское поселение" Гатчинского муниципального района Ленинградской области, применительно к частям территории (д. Бор, д. Веккелево, д. Вярлево, д. Корпикюля, пос. Лукаши, д. Марьино, д. Покровская, д. Порицы, д. Пудомяги, д. Руссолово, д. Шаглино, с прилегающими к населенным пунктам территориями)"
Номер опубликования: 4701202209300001
Дата опубликования: 30.09.2022
Страница №31 из 81:
Увеличить