Официальное опубликование правовых актов
ОФИЦИАЛЬНОЕ ОПУБЛИКОВАНИЕ
Приказ Комитета градостроительной политики Ленинградской области от 15.09.2022 № 133
"Об утверждении Правил землепользования и застройки муниципального образования Ропшинское сельское поселение муниципального образования Ломоносовский муниципальный район Ленинградской области"
Номер опубликования: 4701202209210010
Дата опубликования: 21.09.2022
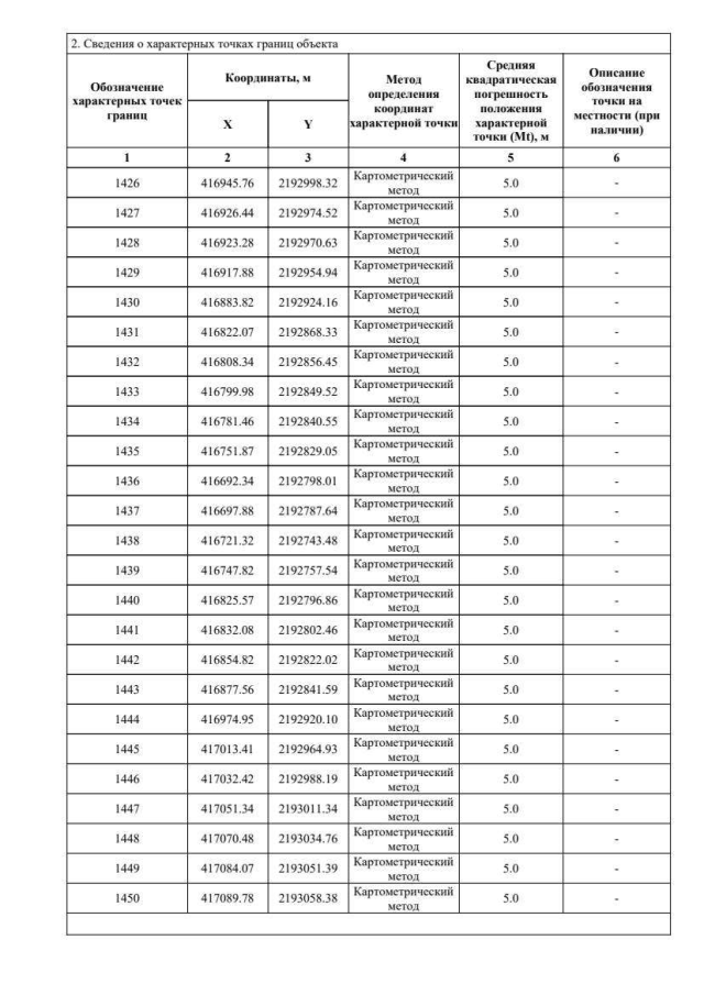
Страница №150 из 2460:
Увеличить