Официальное опубликование правовых актов
ОФИЦИАЛЬНОЕ ОПУБЛИКОВАНИЕ
Приказ Комитета градостроительной политики Ленинградской области от 14.09.2022 № 130
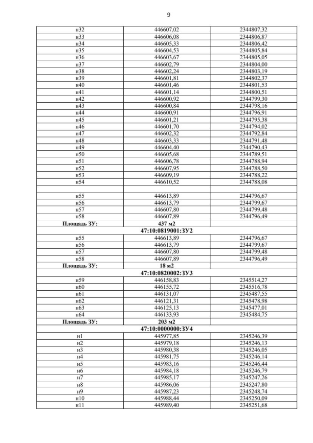
"Об утверждении проекта планировки территории и проекта межевания территории с целью размещения линейного объекта "Газопровод межпоселковый от д. Алексино до д. Яхново, д. Морозово, д. Андреевщина, с отводами на д. Кулаково, д. Льзи, д. Хвалово Волховского района Ленинградской области"
Номер опубликования: 4701202209210009
Дата опубликования: 21.09.2022
Страница №91 из 158:
Увеличить