Официальное опубликование правовых актов
ОФИЦИАЛЬНОЕ ОПУБЛИКОВАНИЕ
Приказ Комитета градостроительной политики Ленинградской области от 19.09.2022 № 136
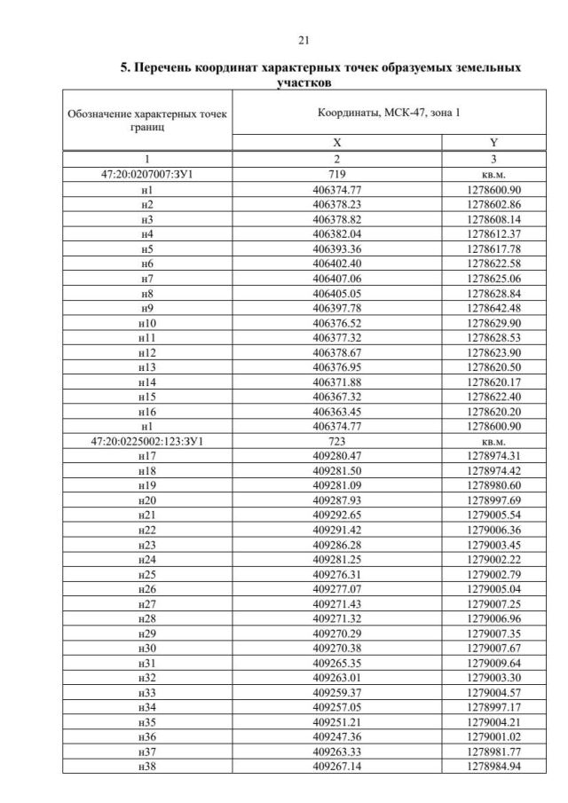
"Об утверждении проекта планировки территории и проекта межевания территории с целью размещения линейного объекта "Программы газификации регионов РФ: "Газопровод межпоселковый до д. Косколово, д. Слободка, д. Югантово, д. Дубки, д. Ручьи, д. Вистино с отводом на Портовые сооружения Кингисеппского района Ленинградской области"
Номер опубликования: 4701202209210002
Дата опубликования: 21.09.2022
Страница №185 из 202:
Увеличить