Официальное опубликование правовых актов
ОФИЦИАЛЬНОЕ ОПУБЛИКОВАНИЕ
Приказ Комитета по труду и занятости населения Ленинградской области от 15.09.2022 № 25
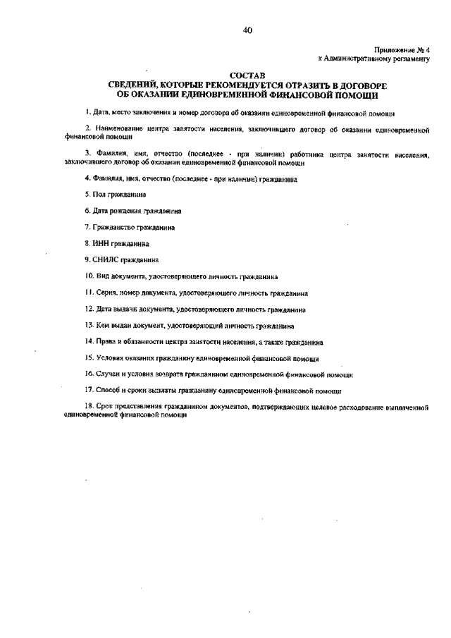
"О внесении изменения в приказ комитета по труду и занятости населения Ленинградской области от 21 мая 2014 года № 14 "Об утверждении Административного регламента предоставления на территории Ленинградской области государственной услуги "Содействие началу осуществления предпринимательской деятельности безработных граждан, включая оказание гражданам, признанным в установленном порядке безработными, и гражданам, признанным в установленном порядке безработными и прошедшим профессиональное обучение или получившим дополнительное профессиональное образование по направлению органов службы занятости, единовременной финансовой помощи при государственной регистрации в качестве индивидуального предпринимателя, государственной регистрации создаваемого юридического лица, государственной регистрации крестьянского (фермерского) хозяйства, постановке на учет физического лица в качестве налогоплательщика налога на профессиональный доход"
Номер опубликования: 4701202209190011
Дата опубликования: 19.09.2022
Страница №40 из 41:
Увеличить