Официальное опубликование правовых актов
ОФИЦИАЛЬНОЕ ОПУБЛИКОВАНИЕ
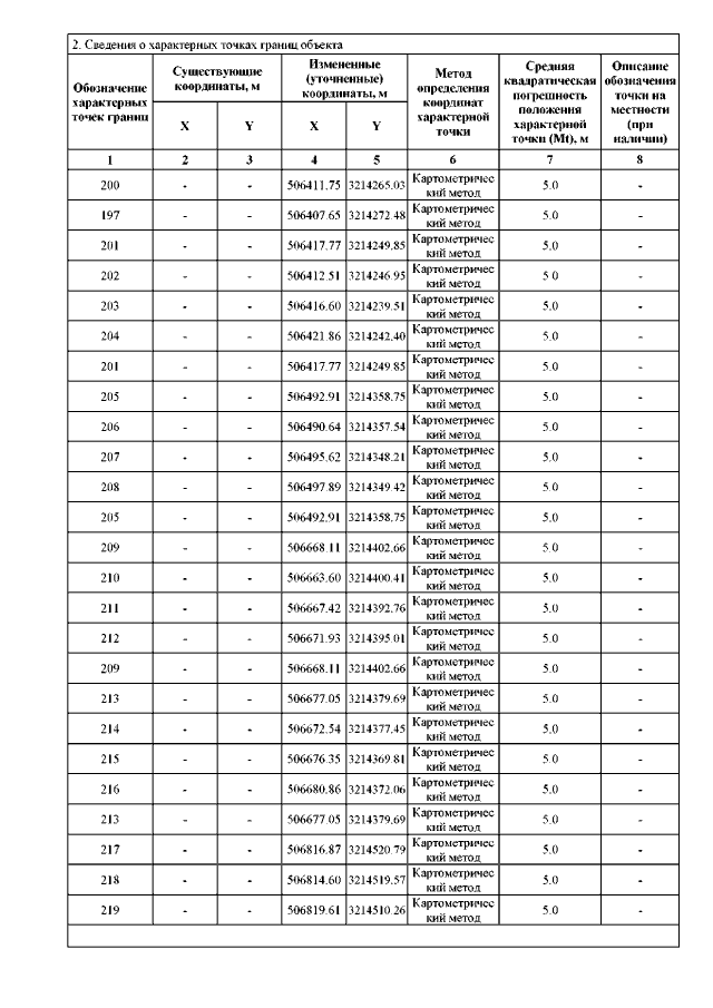
Приказ Комитета градостроительной политики Ленинградской области от 09.09.2022 № 128
"О внесении изменений в правила землепользования и застройки Лодейнопольского городского поселения Лодейнопольского муниципального района Ленинградской области"
Номер опубликования: 4701202209160006
Дата опубликования: 16.09.2022
Страница №21 из 223:
Увеличить