Официальное опубликование правовых актов
ОФИЦИАЛЬНОЕ ОПУБЛИКОВАНИЕ
Приказ Комитета градостроительной политики Ленинградской области от 02.09.2022 № 124
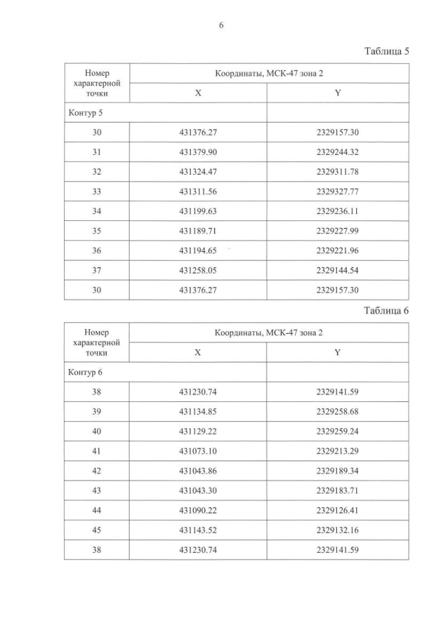
"Об утверждении проекта планировки территории и проекта межевания территории, расположенной в правобережной части г. Волхов, ограниченной с севера - ул. Авиационной, с востока - ул. Ярвенпяя, с юга - ул. Транспортной, с запада - ул. Федюнинского"
Номер опубликования: 4701202209080007
Дата опубликования: 08.09.2022
Страница №8 из 90:
Увеличить