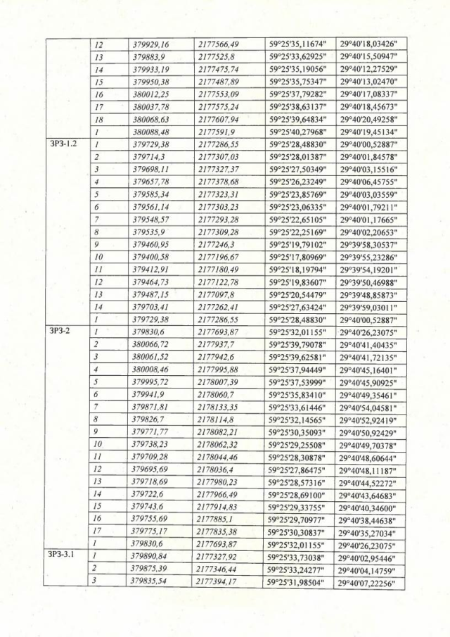
Приказ Комитета по сохранению культурного наследия Ленинградской области от 30.08.2022 № 01-03/22-166
"Об установлении границ зон охраны объекта культурного наследия регионального значения "Комплекс женского Пятогорского монастыря иконы Тихвинской Божьей Матери", расположенного по адресу: Ленинградская область, Волосовский район, Калитинское сельское поселение, деревня Курковицы, монастырь иконы Тихвинской Божьей Матери, и об утверждении требований к градостроительным регламентам в границах территорий данных зон"
"Об установлении границ зон охраны объекта культурного наследия регионального значения "Комплекс женского Пятогорского монастыря иконы Тихвинской Божьей Матери", расположенного по адресу: Ленинградская область, Волосовский район, Калитинское сельское поселение, деревня Курковицы, монастырь иконы Тихвинской Божьей Матери, и об утверждении требований к градостроительным регламентам в границах территорий данных зон"
Номер опубликования: 4701202209070007
Дата опубликования:
07.09.2022
