Официальное опубликование правовых актов
ОФИЦИАЛЬНОЕ ОПУБЛИКОВАНИЕ
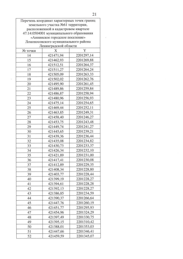
Приказ Комитета градостроительной политики Ленинградской области от 31.08.2022 № 123
"Об утверждении проекта планировки территории и проекта межевания территории, ограниченной проектируемыми улицами Невская, Адмиралтейская, Петропавловская, проектируемой автомобильной дорогой регионального значения, Красносельское шоссе в г.п. Новоселье Аннинского городского поселения Ломоносовского муниципального района Ленинградской области"
Номер опубликования: 4701202209020002
Дата опубликования: 02.09.2022
Страница №68 из 76:
Увеличить