Официальное опубликование правовых актов
ОФИЦИАЛЬНОЕ ОПУБЛИКОВАНИЕ
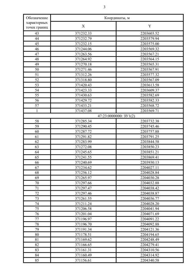
Приказ Комитета градостроительной политики Ленинградской области от 10.08.2022 № 110
"Об утверждении проекта планировки территории и проекта межевания территории с целью размещения линейного объекта: "Распределительный газопровод д. Новосиверская", расположенного в Сиверском городском поселении Гатчинского муниципального района Ленинградской области"
Номер опубликования: 4701202208160004
Дата опубликования: 16.08.2022
Страница №56 из 112:
Увеличить