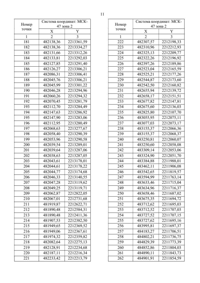
Приказ Комитета градостроительной политики Ленинградской области от 21.07.2022 № 101
"О внесении изменений в проект планировки территории и проект межевания территории с целью размещения линейного объекта: "Газопровод межпоселковый д. Керро – д. Лемболово Всеволожского района", утверждённые приказом Комитета градостроительной политики Ленинградской области от 22 сентября 2021 года № 123"
"О внесении изменений в проект планировки территории и проект межевания территории с целью размещения линейного объекта: "Газопровод межпоселковый д. Керро – д. Лемболово Всеволожского района", утверждённые приказом Комитета градостроительной политики Ленинградской области от 22 сентября 2021 года № 123"
Номер опубликования: 4701202208010004
Дата опубликования:
01.08.2022
