Официальное опубликование правовых актов
ОФИЦИАЛЬНОЕ ОПУБЛИКОВАНИЕ
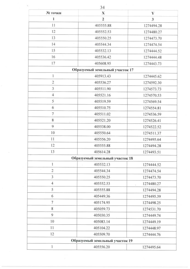
Приказ Комитета градостроительной политики Ленинградской области от 25.07.2022 № 102
"Об утверждении проекта планировки территории и проекта межевания территории в целях размещения завода по производству СПГ газоперерабатывающего комплекса в составе объекта "Комплекс переработки этансодержащего газа" в Кингисеппском муниципальном районе Ленинградской области"
Номер опубликования: 4701202208010002
Дата опубликования: 01.08.2022
Страница №45 из 50:
Увеличить