Официальное опубликование правовых актов
ОФИЦИАЛЬНОЕ ОПУБЛИКОВАНИЕ
Приказ Комитета градостроительной политики Ленинградской области от 25.07.2022 № 102
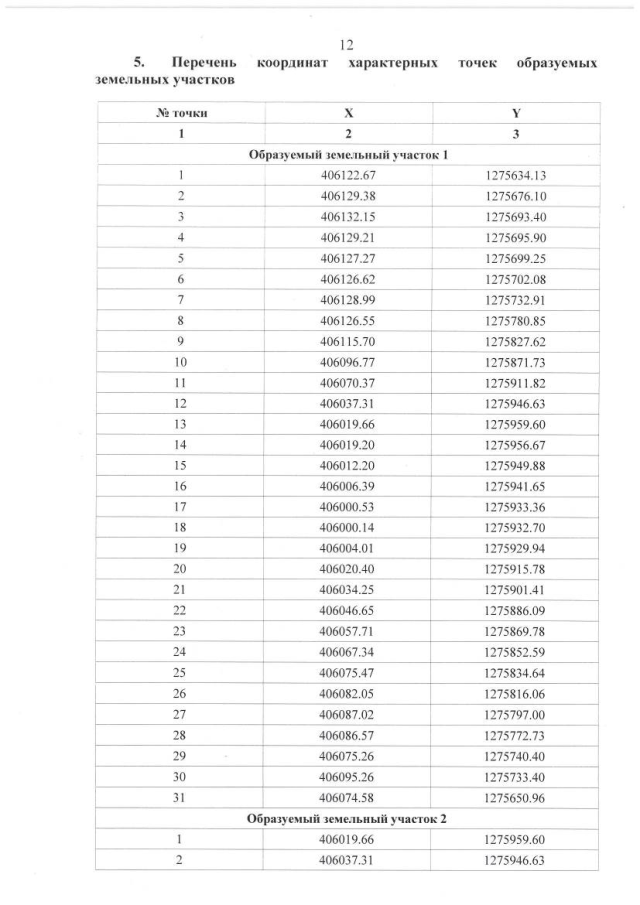
"Об утверждении проекта планировки территории и проекта межевания территории в целях размещения завода по производству СПГ газоперерабатывающего комплекса в составе объекта "Комплекс переработки этансодержащего газа" в Кингисеппском муниципальном районе Ленинградской области"
Номер опубликования: 4701202208010002
Дата опубликования: 01.08.2022
Страница №23 из 50:
Увеличить