Официальное опубликование правовых актов
ОФИЦИАЛЬНОЕ ОПУБЛИКОВАНИЕ
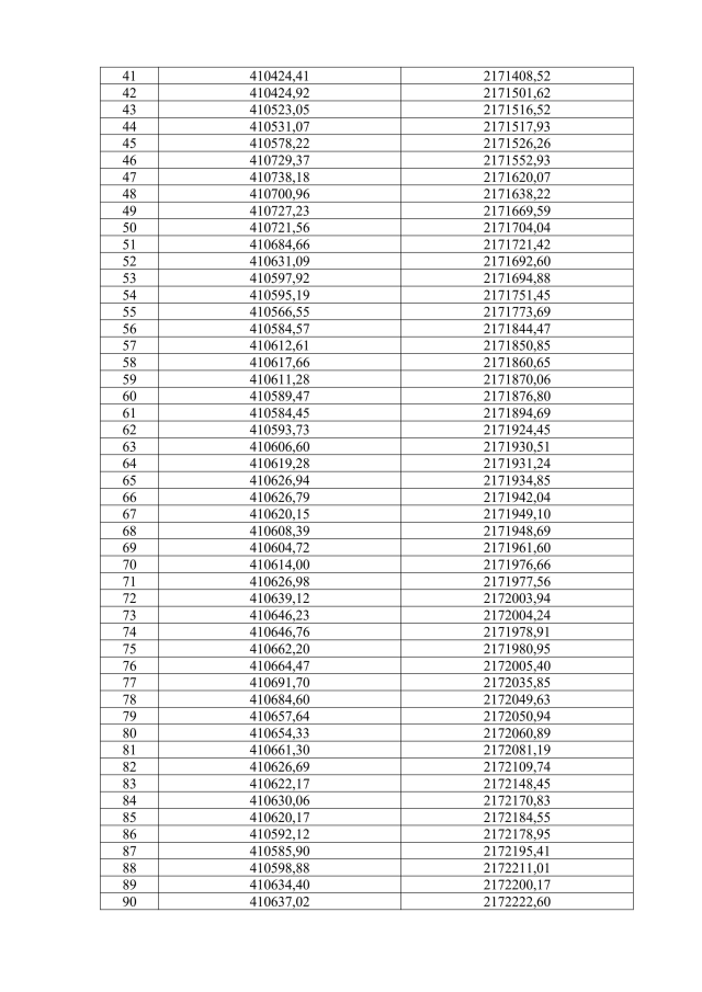
Приказ Комитета градостроительной политики Ленинградской области от 04.07.2022 № 92
"Об утверждении проекта планировки территории и проекта межевания территории садоводческого некоммерческого товарищества "Новое Заостровье", расположенного по адресу: МО Гостилицкое сельское поселение МО Ломоносовский район Ленинградской области"
Номер опубликования: 4701202207070003
Дата опубликования: 07.07.2022
Страница №74 из 75:
Увеличить