Официальное опубликование правовых актов
ОФИЦИАЛЬНОЕ ОПУБЛИКОВАНИЕ
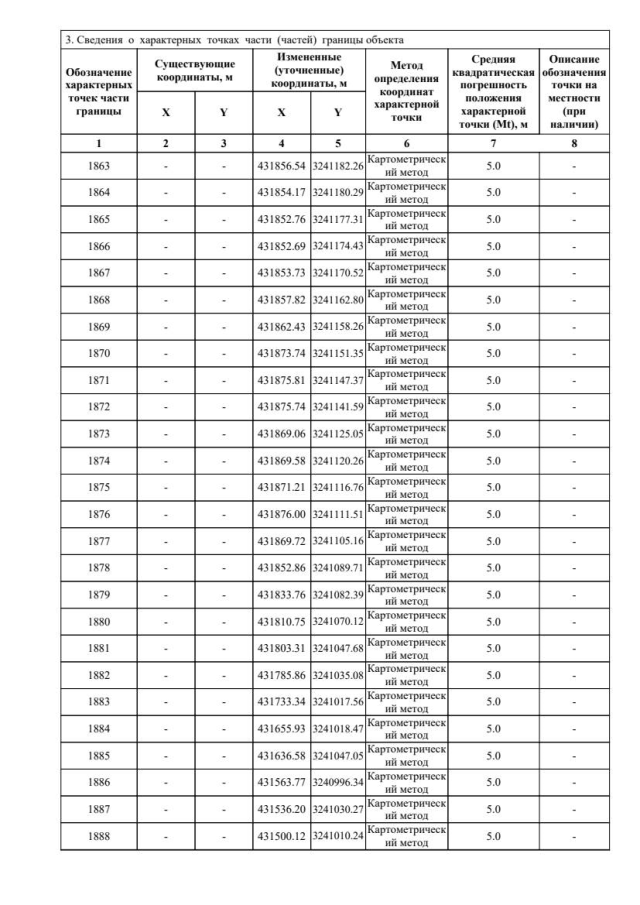
Приказ Комитета градостроительной политики Ленинградской области от 24.06.2022 № 87
"О внесении изменений в Правила землепользования и застройки Ганьковского сельского поселения Тихвинского муниципального района Ленинградской области применительно к территориям населенных пунктов"
Номер опубликования: 4701202206290014
Дата опубликования: 29.06.2022
Страница №82 из 316:
Увеличить