Официальное опубликование правовых актов
ОФИЦИАЛЬНОЕ ОПУБЛИКОВАНИЕ
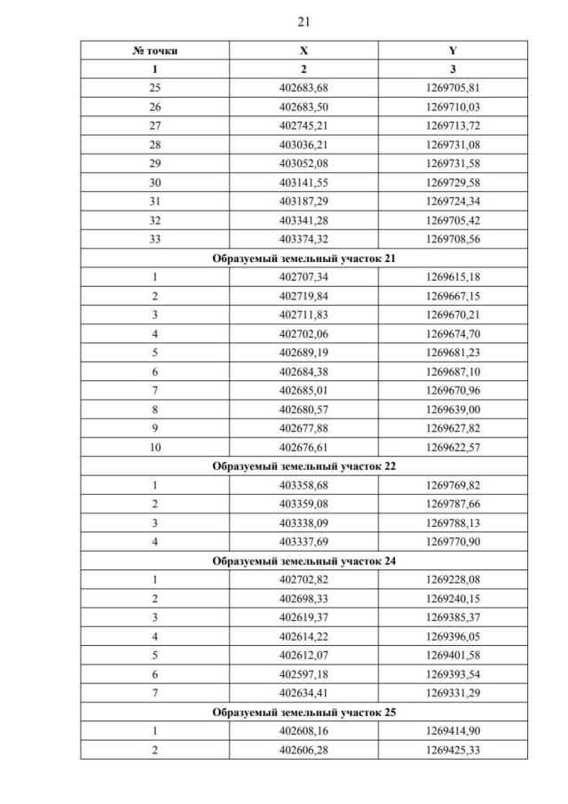
Приказ Комитета градостроительной политики Ленинградской области от 17.06.2022 № 84
"Об утверждении проекта планировки территории и проекта межевания территории, ограниченной автомобильной дорогой регионального значения "Лужицы-Первое мая" и включающей земельный участок с кадастровым номером 47:20:0118001:15"
Номер опубликования: 4701202206240006
Дата опубликования: 24.06.2022
Страница №45 из 47:
Увеличить