Официальное опубликование правовых актов
ОФИЦИАЛЬНОЕ ОПУБЛИКОВАНИЕ
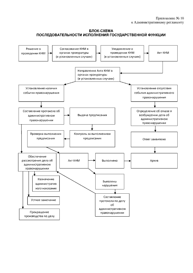
Приказ Комитета государственного жилищного надзора и контроля Ленинградской области от 20.06.2022 № 4
"Об утверждении административного регламента исполнения комитетом государственного жилищного надзора и контроля Ленинградской области государственной функции по осуществлению регионального государственного жилищного контроля (надзора) на территории Ленинградской области и признании утратившим силу приказа комитета государственного жилищного надзора и контроля Ленинградской области от 01.02.2019 № 2"
Номер опубликования: 4701202206220005
Дата опубликования: 22.06.2022
Страница №60 из 60:
Увеличить