Официальное опубликование правовых актов
ОФИЦИАЛЬНОЕ ОПУБЛИКОВАНИЕ
Приказ Комитета по физической культуре и спорту Ленинградской области от 17.06.2022 № 16-о
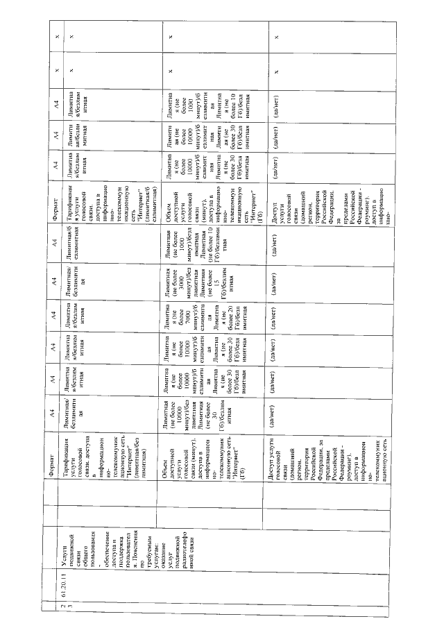
"Об утверждении ведомственного перечня отдельных видов товаров, работ, услуг, их потребительских свойств (в том числе качество) и иных характеристик (в том числе предельные цены товаров, работ, услуг), закупаемых подведомственными комитету по физической культуре и спорту Ленинградской области государственными бюджетными учреждениями"
Номер опубликования: 4701202206200001
Дата опубликования: 20.06.2022
Страница №27 из 29:
Увеличить