Официальное опубликование правовых актов
ОФИЦИАЛЬНОЕ ОПУБЛИКОВАНИЕ
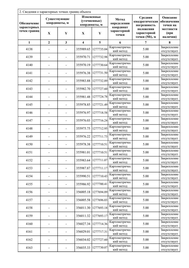
Приказ Комитета градостроительной политики Ленинградской области от 07.06.2022 № 76
"О внесении изменений в Правила землепользования и застройки муниципального образования Черновское сельское поселение Сланцевского муниципального района Ленинградской области"
Номер опубликования: 4701202206150001
Дата опубликования: 15.06.2022
Страница №243 из 1082:
Увеличить