Официальное опубликование правовых актов
ОФИЦИАЛЬНОЕ ОПУБЛИКОВАНИЕ
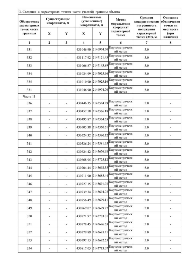
Приказ Комитета градостроительной политики Ленинградской области от 01.06.2022 № 73
"О внесении изменений в Правила землепользования и застройки муниципального образования Сосновоборский городской округ Ленинградской области"
Номер опубликования: 4701202206060004
Дата опубликования: 06.06.2022
Страница №46 из 85:
Увеличить