Официальное опубликование правовых актов
ОФИЦИАЛЬНОЕ ОПУБЛИКОВАНИЕ
Приказ Комитета градостроительной политики Ленинградской области от 31.05.2022 № 72
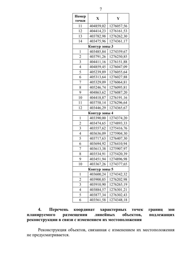
"Об утверждении проекта планировки территории и проекта межевания территории, предусматривающих размещение линейных объектов в границах земельного участка с кадастровым номером 47:20:0000000:3160 до морского отгрузочного терминала газоперерабатывающего комплекса в составе объекта "Комплекс переработки этансодержащего газа" в Кингисеппском муниципальном районе Ленинградской области"
Номер опубликования: 4701202206060003
Дата опубликования: 06.06.2022
Страница №20 из 48:
Увеличить