Официальное опубликование правовых актов
ОФИЦИАЛЬНОЕ ОПУБЛИКОВАНИЕ
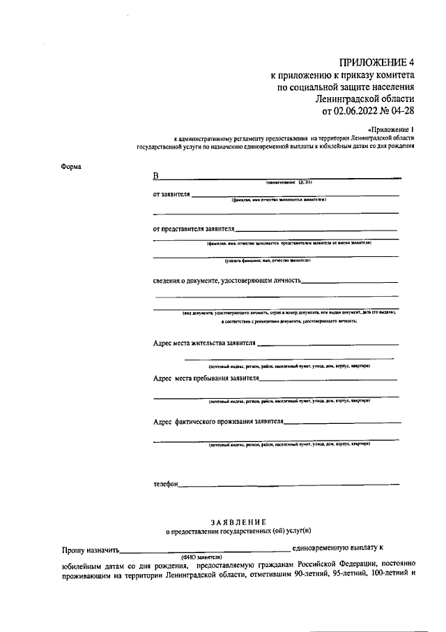
Приказ Комитета по социальной защите населения Ленинградской области от 02.06.2022 № 04-28
"О внесении изменений в приказ комитета по социальной защите населения Ленинградской области от 31 января 2020 года № 5 "Об утверждении административных регламентов предоставления на территории Ленинградской области государственных услуг в сфере социальной защиты населения"
Номер опубликования: 4701202206060001
Дата опубликования: 06.06.2022
Страница №22 из 23:
Увеличить