Официальное опубликование правовых актов
ОФИЦИАЛЬНОЕ ОПУБЛИКОВАНИЕ
Приказ Комитета по сохранению культурного наследия Ленинградской области от 25.05.2022 № 01-03/22-90
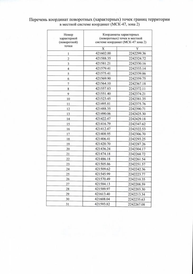
"О включении объекта культурного наследия "Имение Г.А. Потемкина "Островки", 1784-1786 гг., адрес (местонахождение): Ленинградская область, Всеволожский район, Свердловское городское поселение, д. Островки, к западу от д. 35, в единый государственный реестр объектов культурного наследия (памятников истории и культуры) народов Российской Федерации в качестве объекта культурного наследия регионального значения, утверждении границ его территории и предмета охраны"
Номер опубликования: 4701202206020017
Дата опубликования: 02.06.2022
Страница №4 из 13:
Увеличить