Официальное опубликование правовых актов
ОФИЦИАЛЬНОЕ ОПУБЛИКОВАНИЕ
Приказ Комитета градостроительной политики Ленинградской области от 25.05.2022 № 67
"О внесении изменений в Правила землепользования и застройки части территории Синявинского городского поселения Кировского муниципального района Ленинградской области"
Номер опубликования: 4701202205270013
Дата опубликования: 27.05.2022
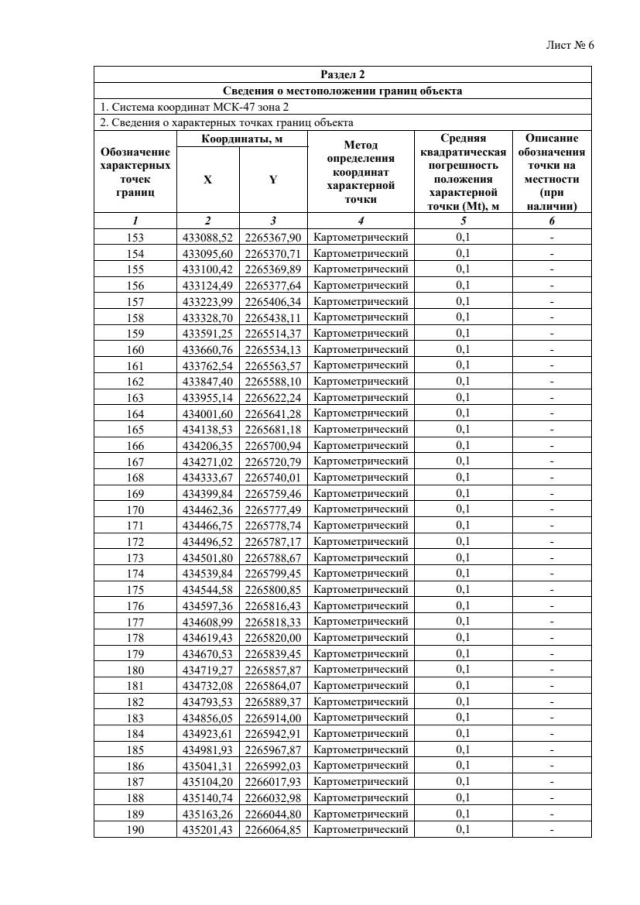
Страница №249 из 259:
Увеличить