Официальное опубликование правовых актов
ОФИЦИАЛЬНОЕ ОПУБЛИКОВАНИЕ
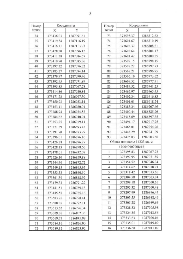
Приказ Комитета градостроительной политики Ленинградской области от 06.05.2022 № 58
"Об утверждении проекта межевания территории, расположенной в кадастровом квартале 47:20:0907008 в районе пл. Николаева г. Кингисеппа Ленинградской области"
Номер опубликования: 4701202205130012
Дата опубликования: 13.05.2022
Страница №6 из 16:
Увеличить