Официальное опубликование правовых актов
ОФИЦИАЛЬНОЕ ОПУБЛИКОВАНИЕ
Приказ Комитета градостроительной политики Ленинградской области от 18.04.2022 № 50
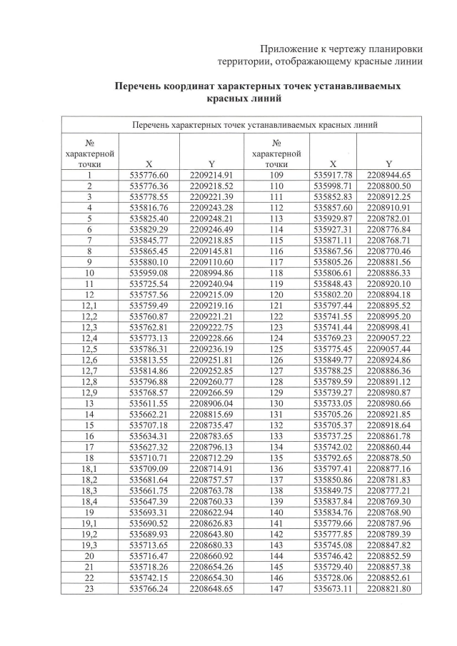
"Об утверждении проекта планировки территории и проекта межевания территории, включающей земельные участки с кадастровыми номерами 47:03:0610002:296, 47:03:0610002:318, 47:03:0610002:319, 47:03:0610002:367, 47:03:0610002:452, и расположенной вблизи п. Плодовое муниципального образования Плодовское сельское поселение Приозерского муниципального района Ленинградской области"
Номер опубликования: 4701202204210002
Дата опубликования: 21.04.2022
Страница №4 из 64:
Увеличить