Официальное опубликование правовых актов
ОФИЦИАЛЬНОЕ ОПУБЛИКОВАНИЕ
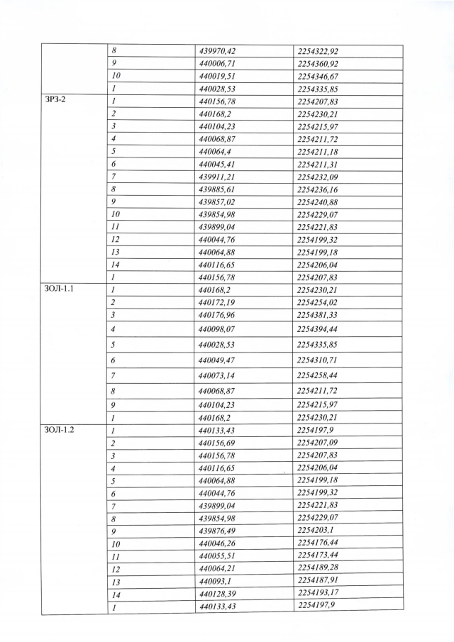
Приказ Комитета по сохранению культурного наследия Ленинградской области от 14.04.2022 № 01-03/22-63
"Об утверждении границ зон охраны объекта культурного наследия регионального значения "Сторожка бывшей церкви свв. апп. Петра и Павла", 1904-1917 гг., по адресу: Ленинградская область, Всеволожский район, пос. им. Морозова, ул. Мира, д. 8, режимов использования земель и требований к градостроительным регламентам в границах данных зон"
Номер опубликования: 4701202204210001
Дата опубликования: 21.04.2022
Страница №11 из 30:
Увеличить