Официальное опубликование правовых актов
ОФИЦИАЛЬНОЕ ОПУБЛИКОВАНИЕ
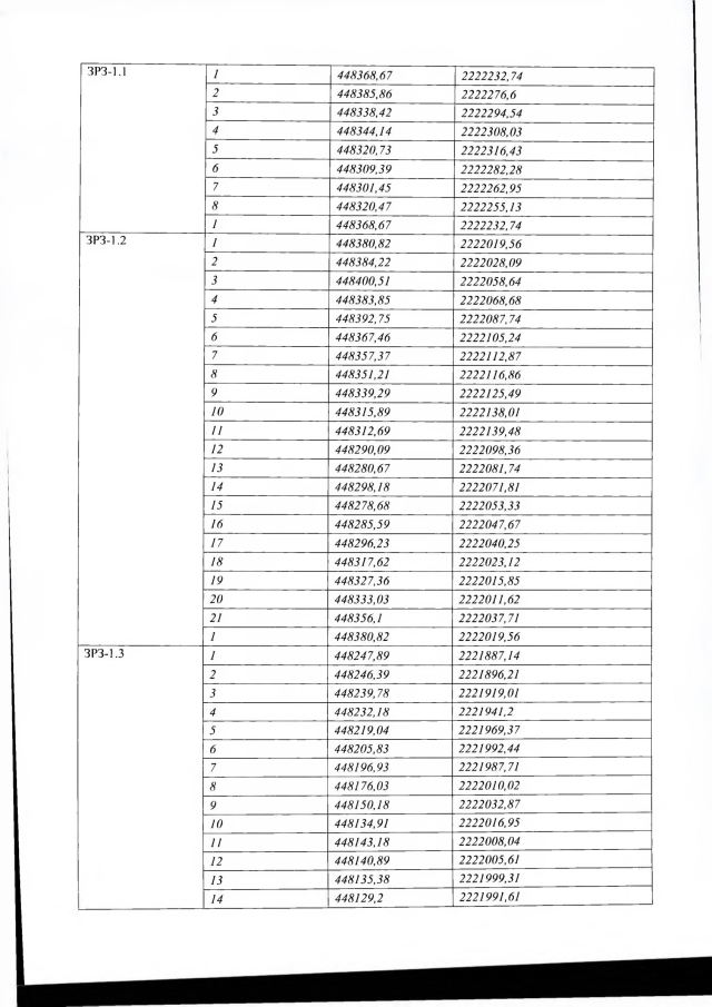
Приказ Комитета по сохранению культурного наследия Ленинградской области от 01.04.2022 № 01-03/22-57
"Об утверждении границ зон охраны объекта культурного наследия регионального значения "Часовня "В память императора Александра II"", 1882 г., по адресу: Ленинградская область, Всеволожский муниципальный район, Муринское городское поселение, г. Мурино, у перекрестка Центральной и Кооперативной улиц, режимов использования земель и требований к градостроительным регламентам в границах данных зон"
Номер опубликования: 4701202204070014
Дата опубликования: 07.04.2022
Страница №16 из 49:
Увеличить