Официальное опубликование правовых актов
ОФИЦИАЛЬНОЕ ОПУБЛИКОВАНИЕ
Приказ Комитета по сохранению культурного наследия Ленинградской области от 01.04.2022 № 01-03/22-56
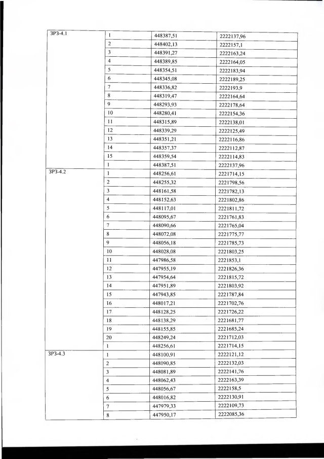
"Об утверждении границ зон охраны объекта культурного наследия регионального значения "Церковь Святой Великомученицы Екатерины", 1786-1790 гг., по адресу: Ленинградская область, Всеволожский муниципальный район, Муринское городское поселение, г. Мурино, ул. Кооперативная, д. 21, режимов использования земель и требований к градостроительным регламентам в границах данных зон"
Номер опубликования: 4701202204070013
Дата опубликования: 07.04.2022
Страница №25 из 62:
Увеличить