Официальное опубликование правовых актов
ОФИЦИАЛЬНОЕ ОПУБЛИКОВАНИЕ
Приказ Комитета градостроительной политики Ленинградской области от 04.04.2022 № 45
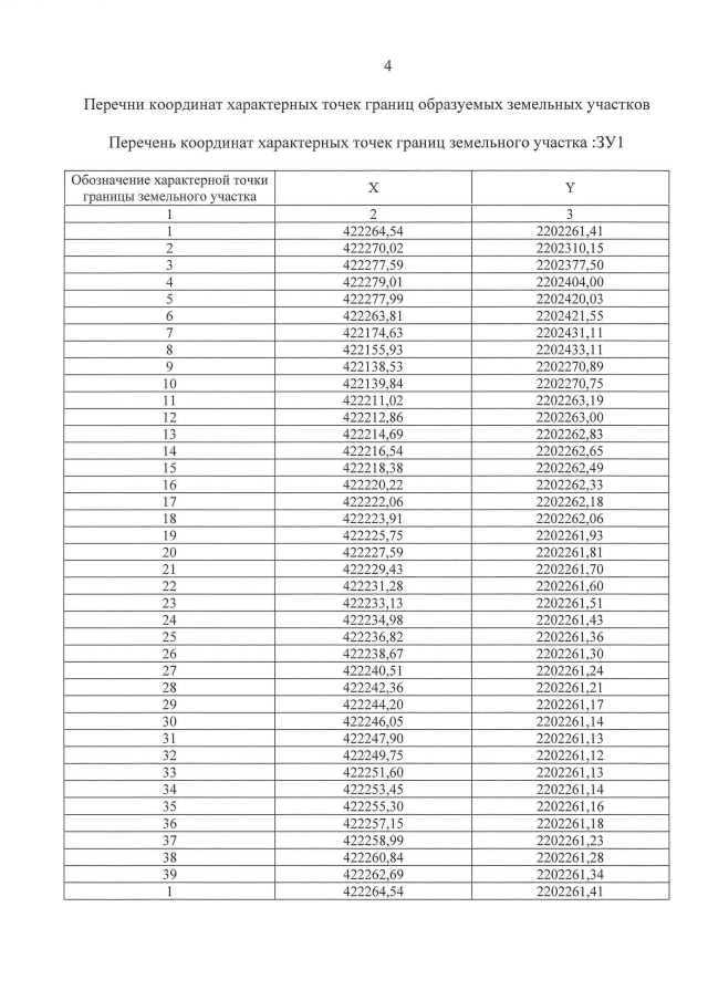
"Об утверждении проекта планировки территории и проекта межевания территории, ограниченной проектируемыми улицами Невская, Петропавловская, Парадная в г.п. Новоселье Аннинского городского поселения Ломоносовского муниципального района Ленинградской области"
Номер опубликования: 4701202204070004
Дата опубликования: 07.04.2022
Страница №40 из 51:
Увеличить