Официальное опубликование правовых актов
ОФИЦИАЛЬНОЕ ОПУБЛИКОВАНИЕ
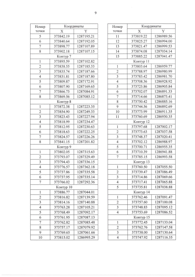
Приказ Комитета градостроительной политики Ленинградской области от 01.04.2022 № 42
"Об утверждении проекта межевания территории, расположенной в кадастровом квартале 47:20:0907003 в районе ул. Жукова и ул. Октябрьской г. Кингисеппа Ленинградской области"
Номер опубликования: 4701202204070003
Дата опубликования: 07.04.2022
Страница №28 из 28:
Увеличить