Официальное опубликование правовых актов
ОФИЦИАЛЬНОЕ ОПУБЛИКОВАНИЕ
Приказ Комитета градостроительной политики Ленинградской области от 30.03.2022 № 38
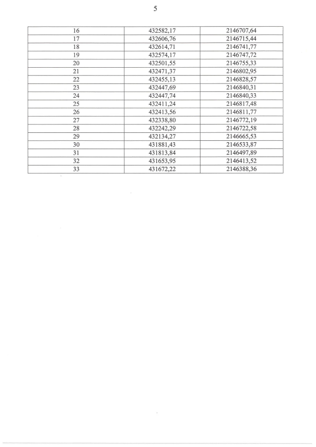
"Об утверждении проекта планировки территории и проекта межевания территории с целью размещения линейного объекта: "Реконструкция Копорского шоссе (1 этап: участок Копорского шоссе от перекрестка с ул. Ленинградская до проезда на базу ВНИПИЭТ)"
Номер опубликования: 4701202204060001
Дата опубликования: 06.04.2022
Страница №42 из 47:
Увеличить