Официальное опубликование правовых актов
ОФИЦИАЛЬНОЕ ОПУБЛИКОВАНИЕ
Приказ Комитета градостроительной политики Ленинградской области от 25.03.2022 № 31
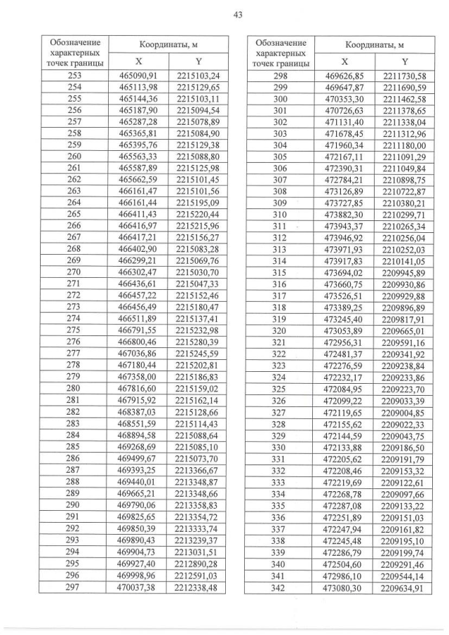
"Об утверждении проекта планировки территории и проекта межевания территории, предусматривающих размещение линейного объекта "Газопровод межпоселковый от д. Агалатово до д. Елизаветинка, д. Керро Всеволожского района Ленинградской области"
Номер опубликования: 4701202204010008
Дата опубликования: 01.04.2022
Страница №127 из 192:
Увеличить