Официальное опубликование правовых актов
ОФИЦИАЛЬНОЕ ОПУБЛИКОВАНИЕ
Приказ Комитета градостроительной политики Ленинградской области от 25.03.2022 № 27
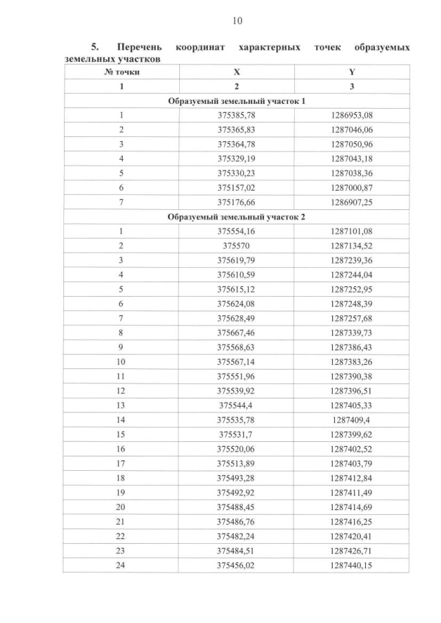
"Об утверждении проекта планировки территории и проекта межевания территории, включающей микрорайон № 7 г. Кингисеппа Кингисеппского муниципального района Ленинградской области"
Номер опубликования: 4701202203310001
Дата опубликования: 31.03.2022
Страница №48 из 58:
Увеличить