Официальное опубликование правовых актов
ОФИЦИАЛЬНОЕ ОПУБЛИКОВАНИЕ
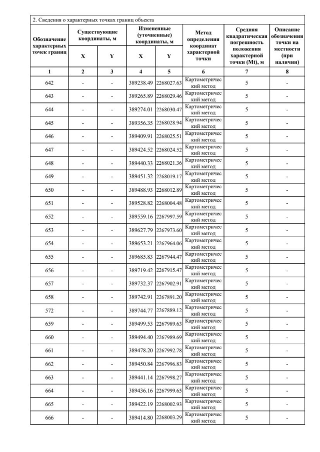
Приказ Комитета градостроительной политики Ленинградской области от 16.03.2022 № 24
"О внесении изменений в правила землепользования и застройки муниципального образования Любанское городское поселение Тосненского муниципального района Ленинградской области"
Номер опубликования: 4701202203230002
Дата опубликования: 23.03.2022
Страница №34 из 1152:
Увеличить