Официальное опубликование правовых актов
ОФИЦИАЛЬНОЕ ОПУБЛИКОВАНИЕ
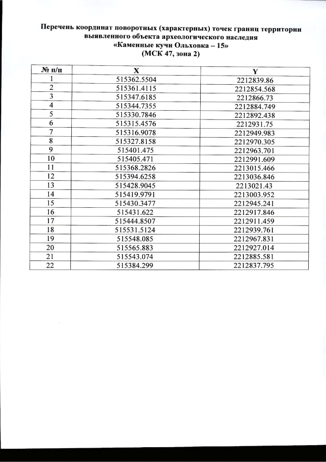
Приказ Комитета по сохранению культурного наследия Ленинградской области от 14.03.2022 № 01-03/22-50
"О внесении изменений в приказ комитета по культуре Ленинградской области от 15 февраля 2016 года № 01-03/16-9 "О включении объекта в перечень выявленных объектов культурного наследия"
Номер опубликования: 4701202203180010
Дата опубликования: 18.03.2022
Страница №4 из 5:
Увеличить