Официальное опубликование правовых актов
ОФИЦИАЛЬНОЕ ОПУБЛИКОВАНИЕ
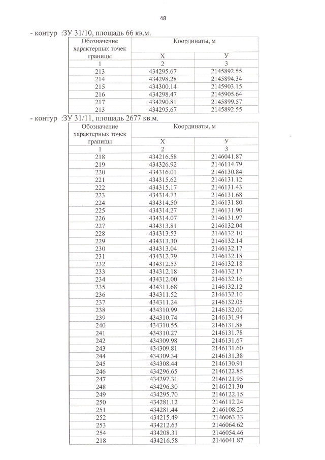
Приказ Комитета градостроительной политики Ленинградской области от 10.03.2022 № 21
"Об утверждении проекта межевания территории микрорайона № 9 Сосновоборского городского округа Ленинградской области"
Номер опубликования: 4701202203110002
Дата опубликования: 11.03.2022
Страница №50 из 98:
Увеличить