Официальное опубликование правовых актов
ОФИЦИАЛЬНОЕ ОПУБЛИКОВАНИЕ
Приказ Комитета градостроительной политики Ленинградской области от 25.02.2022 № 17
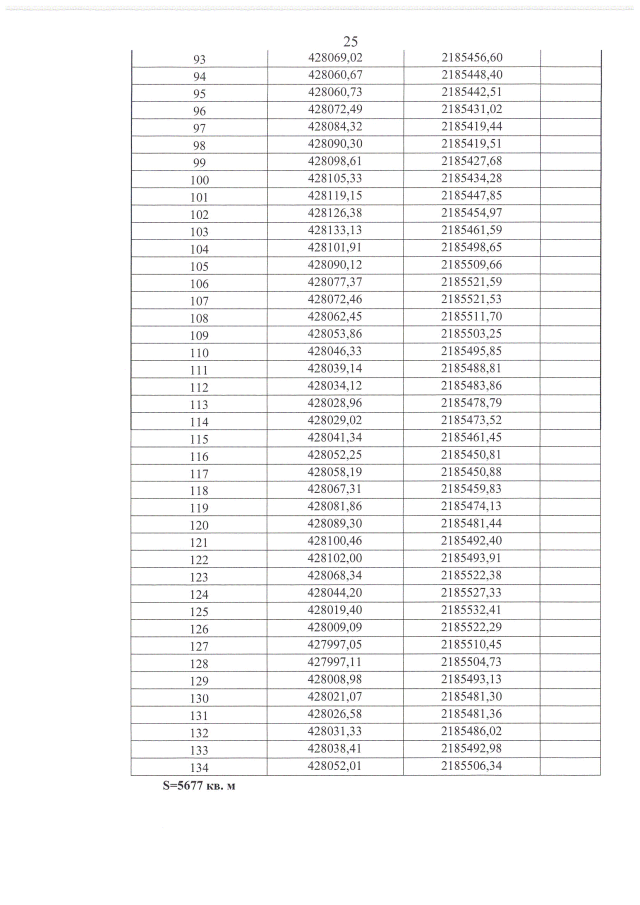
"Об утверждении проекта межевания территории в границах земельного участка с кадастровым номером 47:14:0317001:2, расположенного по адресу Ленинградская область, Ломоносовский район, МО "Пенниковское сельское поселение", ОНТ "Агакули"
Номер опубликования: 4701202203030004
Дата опубликования: 03.03.2022
Страница №26 из 28:
Увеличить