Официальное опубликование правовых актов
ОФИЦИАЛЬНОЕ ОПУБЛИКОВАНИЕ
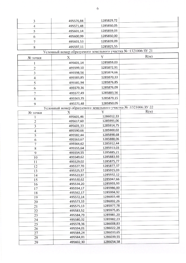
Приказ Комитета градостроительной политики Ленинградской области от 18.02.2022 № 15
"Об утверждении проекта планировки территории и проекта межевания территории дачного некоммерческого партнерства "Берег", расположенного по адресу: Ленинградская область, Выборгский район, Приморское городское поселение, в районе пос. Прибылово"
Номер опубликования: 4701202202240006
Дата опубликования: 24.02.2022
Страница №16 из 20:
Увеличить