Официальное опубликование правовых актов
ОФИЦИАЛЬНОЕ ОПУБЛИКОВАНИЕ
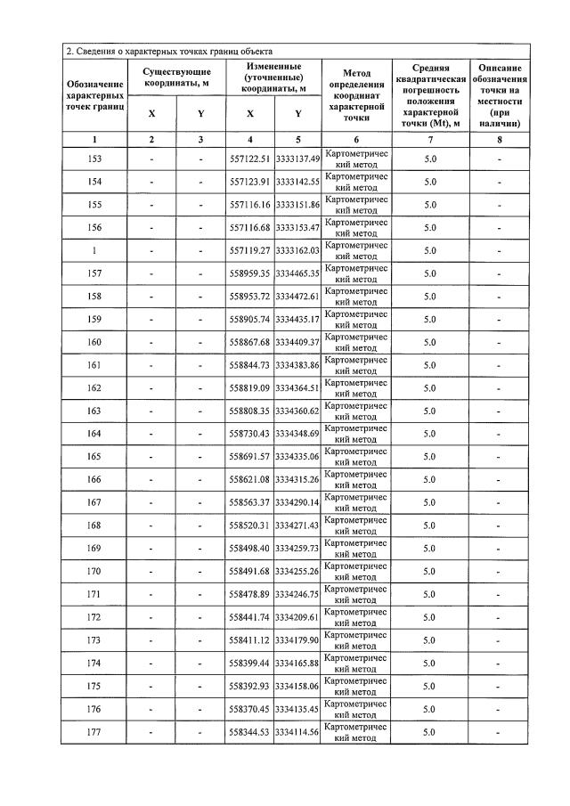
Приказ Комитета градостроительной политики Ленинградской области от 11.02.2022 № 12
"О внесении изменений в Правила землепользования и застройки муниципального образования "Вознесенское городское поселение Подпорожского муниципального района Ленинградской области"
Номер опубликования: 4701202202170005
Дата опубликования: 17.02.2022
Страница №13 из 61:
Увеличить