Приказ Комитета по сохранению культурного наследия Ленинградской области от 09.02.2022 № 01-03/22-27
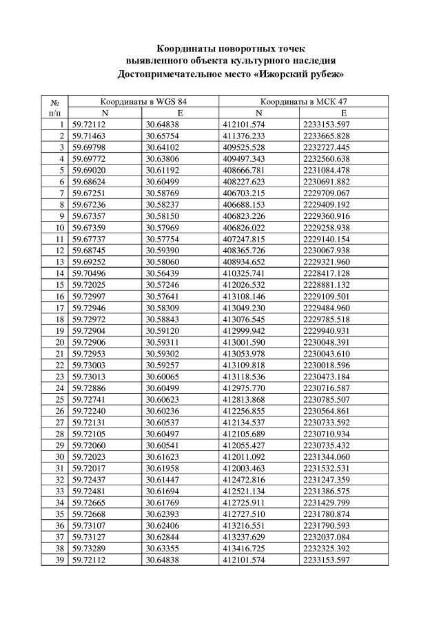
"О включении в Перечень выявленных объектов культурного наследия, расположенных на территории Ленинградской области, объекта, обладающего признаками объекта культурного наследия Достопримечательное место "Ижорский рубеж", расположенного на территории Тельмановского сельского поселения Тосненского района Ленинградской области"
"О включении в Перечень выявленных объектов культурного наследия, расположенных на территории Ленинградской области, объекта, обладающего признаками объекта культурного наследия Достопримечательное место "Ижорский рубеж", расположенного на территории Тельмановского сельского поселения Тосненского района Ленинградской области"
Номер опубликования: 4701202202150001
Дата опубликования:
15.02.2022
